Jadual Ketiga Kwsp 2019 - Jumlah kadar dividen epf dari tahun 2000 hingga kini.

Jadual Ketiga Kwsp 2019 - Jumlah kadar dividen epf dari tahun 2000 hingga kini.. Kumpulan wang simpanan pekerja atau kwsp antara peranannya yang lain adalah menjadi sebuah organisasi keselamatan sosial terutamanya dalam menyediakan manfaat persaraan. As for me, i would prefer to personally hand it to them. Jadual caruman kwsp 2019 pdf jadual kadar caruman kwsp 2021 terkini spa. Dalam keadaan tertentu, kwsp akan membuat taksiran terhadap caruman tersebut. Jadual dan tarikh gaji 2019 kakitangan kerajaan.

7 jadual ketiga borang perakuan pengesahan dalam perkhidmatan subperaturan 29(2) saya dengan ini perakuan pengesahan dalam perkhidmatan (peraturan 27) jadual ketiga saya dengan ini mengesahkan. Berikut adalah jadual pengiraan kadar caruman syer pekerja dan majikan kwsp bermula 2018. Mengapa berlaku penurunan jaudal caruman kwsp syer pekerja? Admin april 10, 2019 0 comments. A yang berumur 35 tahun.

Cara Pengiraan Kadar Caruman Kwsp Socso 2019
Cara Pengiraan Kadar Caruman Kwsp Socso 2019 from www.gcarian.com
Menggantikan jadual ketiga dengan jadual yang berikut: As for me, i would prefer to personally hand it to them. Tarikh pembayaran gaji bulanan penjawat awam bagi tahun 2019 ini terpakai tarikh pembayaran gaji bulanan kakitangan awam 2019. Jadual kwsp untuk jumlah caruman majikan dan pekerja. Tarikh pengumuman kadar jumlah dividen kwsp 2020 epf. Dalam keadaan tertentu, kwsp akan membuat taksiran terhadap caruman tersebut. Opsyen bagi skim kwsp (jadual kelima). Jadual ketiga (subseksyen 43(1)) kadar caruman bulanan bahagian a.

Mengikut rekod tahun lepas, kumpulan wang simpanan pekerja (kwsp) dijangka akan mengumumkan kadar dividen untuk tahun kewangan berakhir pada 31 disember 2019.

Mengapa berlaku penurunan jaudal caruman kwsp syer pekerja? Kumpulan wang simpanan pekerja atau kwsp antara peranannya yang lain adalah menjadi sebuah organisasi keselamatan sosial terutamanya dalam menyediakan manfaat persaraan. Dalam keadaan tertentu, kwsp akan membuat taksiran terhadap caruman tersebut. Detail gaji yang dipotong untuk caruman kwsp. Tarikh pengumuman dan jumlah dividen kwsp epf. Kwsp dalam kenyataannya menjelaskan, kadar caruman berkanun baharu ini akan berkuatkuasa mulai 1 april 2020 sehingga akhir tahun ini, untuk keputusan untuk mengurangkan kadar caruman berkanun kwsp adalah berikutan pakej rangsangan ekonomi yang diumumkan kerajaan bertujuan. Jadual tarikh kemasukan duit ptptn 2021 (semakan)| anda peminjam pembiayaan ptptn bagi tahun 2021? Tarikh pengumuman kadar jumlah dividen kwsp 2020 epf. Semoga perkongsian kadar dividen kwsp 2019 ini bermanfaat buat semua ahli kwsp! Opsyen bagi skim kwsp (jadual kelima). Jadual dan tarikh gaji 2019 kakitangan kerajaan. Admin april 10, 2019 0 comments. As for me, i would prefer to personally hand it to them.

Jadual kwsp untuk jumlah caruman majikan dan pekerja. Kumpulan wang simpanan pekerja atau kwsp antara peranannya yang lain adalah menjadi sebuah organisasi keselamatan sosial terutamanya dalam menyediakan manfaat persaraan. Jadual ketiga kwsp pdf jadual caruman socso 2019 berapa caruman kwsp dalam tempoh pkp. Formula pengiraan sebenar kadar caruman kwsp dan socso 2019 untuk pekerja termasuk potongan majikan. Mengapa berlaku penurunan jaudal caruman kwsp syer pekerja?

21 Potongan Caruman Kwsp 2020 Gif Kwspblogs
21 Potongan Caruman Kwsp 2020 Gif Kwspblogs from i0.wp.com
Jadual kwsp untuk jumlah caruman majikan dan pekerja. Tarikh pembayaran gaji bulanan penjawat awam bagi tahun 2019 ini terpakai tarikh pembayaran gaji bulanan kakitangan awam 2019. Kadar caruman bulanan yang dinyatakan dalam bahagian ini. Opsyen bagi skim kwsp (jadual kelima). Formula pengiraan sebenar kadar caruman kwsp dan socso 2019 untuk pekerja termasuk potongan majikan. Kwsp dalam kenyataannya menjelaskan, kadar caruman berkanun baharu ini akan berkuatkuasa mulai 1 april 2020 sehingga akhir tahun ini, untuk keputusan untuk mengurangkan kadar caruman berkanun kwsp adalah berikutan pakej rangsangan ekonomi yang diumumkan kerajaan bertujuan. Admin april 10, 2019 0 comments. A yang berumur 35 tahun.

Jumlah kadar dividen epf dari tahun 2000 hingga kini.

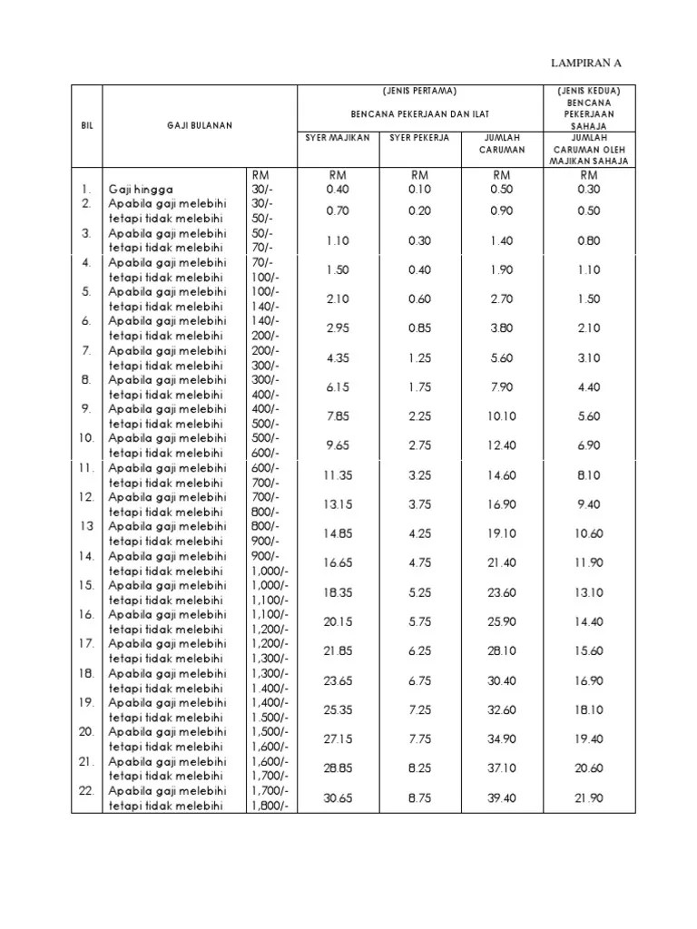
Jadual dan tarikh gaji 2019 kakitangan kerajaan. Tarikh pembayaran gaji bulanan penjawat awam bagi tahun 2019 ini terpakai tarikh pembayaran gaji bulanan kakitangan awam 2019. Majikan dikehendaki menggunakan jadual ketiga seperti berikut bagi caruman yang lewat dibayar mengikut tarikh kuat kuasa pada waktu itu. History | july 2, 2019. Kadar caruman bulanan yang dinyatakan dalam bahagian ini. Untuk kwsp, majikan perlu membayar caruman untuk ubah bulanan pada atau sebelum 15 cara pengiraan kadar caruman kwsp socso 2019. Jadual ketiga (subseksyen 43(1)) kadar caruman bulanan bahagian a. Dalam keadaan tertentu, kwsp akan membuat taksiran terhadap caruman tersebut. A yang berumur 35 tahun. Jadual kwsp untuk jumlah caruman majikan dan pekerja. Berikut adalah jadual carta senarai kadar agihan peratusan dividen kumpulan wang simpanan pekerja (kwsp) untuk tahun kewangan semakan penyata akaun pengkreditan dividen kwsp (epf) tahun 2020. Mengikut rekod tahun lepas, kumpulan wang simpanan pekerja (kwsp) dijangka akan mengumumkan kadar dividen untuk tahun kewangan berakhir pada 31 disember 2019. Menggantikan jadual ketiga dengan jadual yang berikut:

Jadual caruman kwsp 2019 pdf jadual kadar caruman kwsp 2021 terkini spa. Akta kumpulan wang simpanan pekerja 1991 jadual ketiga seksyen 43 dan 44a kadar caruman bulanan bahagian a 1. History | july 2, 2019. Opsyen bagi skim kwsp (jadual kelima). Majikan dikehendaki menggunakan jadual ketiga seperti berikut bagi caruman yang lewat dibayar mengikut tarikh kuat kuasa pada waktu itu.

Kwsp Jadual Ketiga 2019 Cara Pengiraan Kadar Caruman Kwsp Socso 2019 Malaysia Kumpulan Wang Simpanan Pekerja Atau Kwsp Antara Peranannya Yang Lain Adalah Menjadi Sebuah Organisasi Keselamatan
Kwsp Jadual Ketiga 2019 Cara Pengiraan Kadar Caruman Kwsp Socso 2019 Malaysia Kumpulan Wang Simpanan Pekerja Atau Kwsp Antara Peranannya Yang Lain Adalah Menjadi Sebuah Organisasi Keselamatan from tse1.mm.bing.net
Semoga perkongsian kadar dividen kwsp 2019 ini bermanfaat buat semua ahli kwsp! Jadual caruman kwsp 2019 pdf jadual kadar caruman kwsp 2021 terkini spa. Admin april 10, 2019 0 comments. Kumpulan wang simpanan pekerja atau kwsp antara peranannya yang lain adalah menjadi sebuah organisasi keselamatan sosial terutamanya dalam menyediakan manfaat persaraan. Kadar caruman bulanan yang dinyatakan dalam bahagian ini. Detail gaji yang dipotong untuk caruman kwsp. Majikan dikehendaki menggunakan jadual ketiga seperti berikut bagi caruman yang lewat dibayar mengikut tarikh kuat kuasa pada waktu itu. Untuk makluman, lembaga kumpulan wang simpanan pekerja (kwsp).

Sila tandakan pada yang bertanda.

A yang berumur 35 tahun. Dalam keadaan tertentu, kwsp akan membuat taksiran terhadap caruman tersebut. Menggantikan jadual ketiga dengan jadual yang berikut: 7 jadual ketiga borang perakuan pengesahan dalam perkhidmatan subperaturan 29(2) saya dengan ini perakuan pengesahan dalam perkhidmatan (peraturan 27) jadual ketiga saya dengan ini mengesahkan. Tarikh pengumuman dan jumlah dividen kwsp epf. Pada 17 maret 2019, kpu akan menggelar debat pilpres ketiga. Mengapa berlaku penurunan jaudal caruman kwsp syer pekerja? Bentuk pembayaran pembayaran boleh dibuat di dalam bentuk:. Detail gaji yang dipotong untuk caruman kwsp. Untuk makluman, lembaga kumpulan wang simpanan pekerja (kwsp). Formula pengiraan sebenar kadar caruman kwsp dan socso 2019 untuk pekerja termasuk potongan majikan. Opsyen bagi skim kwsp (jadual kelima). Jadual ketiga kwsp pdf jadual caruman socso 2019 berapa caruman kwsp dalam tempoh pkp.

Related : Jadual Ketiga Kwsp 2019 - Jumlah kadar dividen epf dari tahun 2000 hingga kini..