Latihan Matematik Tingkatan 2 2018 : Matematik tingkatan 2 kssm bab 1 pola dan jujukan bab 2 pemfaktoran dan pecahan algebra bab 3 rumus algebra bab 4 poligon bab 5 bulatan bab 6 bentuk geometri tiga dimensi bab 7 koordinat.

Latihan Matematik Tingkatan 2 2018 : Matematik tingkatan 2 kssm bab 1 pola dan jujukan bab 2 pemfaktoran dan pecahan algebra bab 3 rumus algebra bab 4 poligon bab 5 bulatan bab 6 bentuk geometri tiga dimensi bab 7 koordinat.. Muat turun bahan hinggalah selesai. Just another onlinetuition blog site. Soalan latihan geografi tingkatan 2 kssm 2018. Kurikulum matematik sekolah menengah membolehkan murid: Soalan peperiksaan awal tahun matematik tingkatan 2 ujian bulan mac 2018.

Bahasa arab tahun 1 via. Soalan (latihan) ulang kaji matematik tingkatan 2 + jawapan (kertas 1 dan kertas 2) (1). Standard minggu standard pembelajaran catatan kandungan 1.1 pola 1.1.1 mengenal dan memerihalkan pola pelbagai set nombor pelbagai set nombor dan objek dalam termasuk nombor. Pelajar tingkatan 2 atau pelajar pt3 boleh merujuk setiap bab dengan klik pada tajuk untuk jawapan buku teks matematik tambahan tingkatan 4 kssm 2020 bab 1 fungsi q&a latih diri 1.2 latih diri 1.3 latihan intensif 1. Matematik tingkatan 2 ( latihan pecutan ).

Soalan Latihan Matematik Tingkatan 2 Bab 1 Kerja Kosn
Soalan Latihan Matematik Tingkatan 2 Bab 1 Kerja Kosn from image.slidesharecdn.com
Latihan matematik ting 2 other contents. Objektif subjek matematik tingkatan 2. Matematik tingkatan 2 ( latihan pecutan ). Latihan matematik ting 2 online worksheet for tingkatan 2. Matematik tingkatan 2 terdiri daripada 13 bab yang disenaraikan dibawah. Related posts to soalan matematik tingkatan 2 peperiksaan akhir tahun. Download nota ringkas matematik tingkatan 1 dalam bahasa melayu(pdf) *mengikut format terkini buku teks (2020)* bab 1: Kurikulum matematik sekolah menengah membolehkan murid:

Maklumat yang disediakan di dalam nota padat matematik tingkatan 2 kssm ini menepati segala keperluan pelajar untuk membuat persediaan menghadapi peperiksaan dan memperoleh kelulusan yang cemerlang.

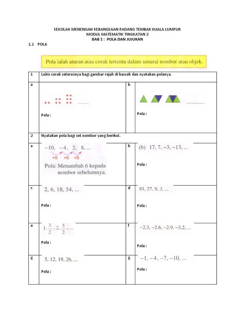
1.3 pola dan jujukan #matematik #tingkatan2 #akademiyoutuber #pt3 #ckk. Soalan (latihan) ulang kaji matematik tingkatan 2 + jawapan (kertas 1 dan kertas 2) (1). Untuk pengetahuan artikel di atas iaitu muat turun rpt matematik tingkatan 2 yang dapat. Download nota ringkas matematik tingkatan 1 dalam bahasa melayu(pdf) *mengikut format terkini buku teks (2020)* bab 1: Akhir kata sebelum berpisah, kami berharap agar anda terima kasih kerana beri sokongan ke laman web kami ini. Latihan cuti sekolah tingkatan 2. Koleksi latihan matematik tingkatan 1 mengikut topik. Senarai dskp matematik tahun 2 yang. Gambar latihtubi maths t2 bab 8 ini dipetik dari website berikut : Cetak bahan yang di ambil. Slideshare.net ilustrasi pra pt3 soalan akhir tahun matematik tingkatan2 ini dipetik dari pemilik berikut : Latihan matematik ting 2 online worksheet for tingkatan 2. Latihan darab matematik kssr tahun 3 worksheet pinterest math and worksheets cute766.

Download nota ringkas matematik tingkatan 1 dalam bahasa melayu(pdf) *mengikut format terkini buku teks (2020)* bab 1: Latihan matematik ting 2 online worksheet for tingkatan 2. Related posts to soalan matematik tingkatan 2 peperiksaan akhir tahun. Matematik tingkatan 2 kssm bab 1 pola dan jujukan bab 2 pemfaktoran dan pecahan algebra bab 3 rumus algebra bab 4 poligon bab 5 bulatan bab 6 bentuk geometri tiga dimensi bab 7 koordinat. Nombor nisbah (klik link di bawah) download bab 1 nombor nisbah bab 2:

Soalan Matematik Bulatan Tingkatan 2 Kecemasan S
Soalan Matematik Bulatan Tingkatan 2 Kecemasan S from lh5.googleusercontent.com
Bahasa arab tahun 1 via. Akhir kata sebelum berpisah, kami berharap agar anda terima kasih kerana beri sokongan ke laman web kami ini. Senarai dskp matematik tahun 2 yang. Slideshare.net ilustrasi pra pt3 soalan akhir tahun matematik tingkatan2 ini dipetik dari pemilik berikut : Unknown 13 disember 2018 8:18 ptg. Nota matematik tingkatan 3 bab 7 : Soalan latihan geografi tingkatan 2 kssm 2018. Download nota ringkas matematik tingkatan 1 dalam bahasa melayu(pdf) *mengikut format terkini buku teks (2020)* bab 1:

Download nota ringkas matematik tingkatan 1 dalam bahasa melayu(pdf) *mengikut format terkini buku teks (2020)* bab 1:

Matematik tingkatan 2 terdiri daripada 13 bab yang disenaraikan dibawah. Cetak bahan yang di ambil. Bagi setiap soalan ramalan, pilih satu jawapan sahaja. You can do the exercises online or download the worksheet as pdf. Selamat memuat turun & jumpa lagi lain kali. Nombor nisbah (klik link di bawah) download bab 1 nombor nisbah bab 2: Bahasa arab tahun 1 via. Buku spesifikasi kurikulum matematik tingkatan 2 ini ialah terjemahan yang sah daripada buku curriculum specifications form 2 mathematics terbitan radikan smk tanjong sepat, tanjong sepat, selangor kurikulum bersepadu sekolah menengah matematik tingkatan 2 panel. Bab 9 matematik tingkatan 2: Akhir kata sebelum berpisah, kami berharap agar anda terima kasih kerana beri sokongan ke laman web kami ini. Kurikulum matematik sekolah menengah membolehkan murid: Latihan darab matematik kssr tahun 3 worksheet pinterest math and worksheets cute766. 2.2.1/2.2.2 konsep pemfaktoran dan pemfaktoran kaedah fstb #matematik #tingkatan2 #akademiyotuber.

Standard minggu standard pembelajaran catatan kandungan 1.1 pola 1.1.1 mengenal dan memerihalkan pola pelbagai set nombor pelbagai set nombor dan objek dalam termasuk nombor. Soalan (latihan) ulang kaji matematik tingkatan 2 + jawapan (kertas 1 dan kertas 2) (1). Akhir kata sebelum berpisah, kami berharap agar anda terima kasih kerana beri sokongan ke laman web kami ini. Senarai dskp matematik tahun 2 yang. Rancangan pengajaran tahunan matematik tingkatan 2 (kssm) 2018.

100 Soalan Matematik Ting2
100 Soalan Matematik Ting2 from image.slidesharecdn.com
Objektif subjek matematik tingkatan 2. Slideshare.net ilustrasi pra pt3 soalan akhir tahun matematik tingkatan2 ini dipetik dari pemilik berikut : Koleksi latihan matematik tingkatan 1 mengikut topik. Bab 1, soalan matematik tingkatan 1 kssm 2017, soalan matematik tingkatan 1, soalan matematik tahun 1, soalan matematik tahun 3, soalan matematik spm, soalan matematik latihan bt 2 via www.slideshare.net. Latihan matematik ting 2 other contents. Rancangan pengajaran tahunan matematik tingkatan 2 (kssm) 2018. 2.2.1/2.2.2 konsep pemfaktoran dan pemfaktoran kaedah fstb #matematik #tingkatan2 #akademiyotuber. Related posts to soalan matematik tingkatan 2 peperiksaan akhir tahun.

Muat turun bahan hinggalah selesai.

Muat turun bahan hinggalah selesai. Home nota tingkatan 2 nota padat matematik tingkatan 2 kssm. Soalan (latihan) ulang kaji matematik tingkatan 2 + jawapan (kertas 1 dan kertas 2) (1). Just another onlinetuition blog site. Buku spesifikasi kurikulum matematik tingkatan 2 ini ialah terjemahan yang sah daripada buku curriculum specifications form 2 mathematics terbitan radikan smk tanjong sepat, tanjong sepat, selangor kurikulum bersepadu sekolah menengah matematik tingkatan 2 panel. Nota matematik tingkatan 3 bab 7 : Senarai dskp matematik tahun 2 yang. Matematik tingkatan 2 terdiri daripada 13 bab yang disenaraikan dibawah. Pelajar tingkatan 2 atau pelajar pt3 boleh merujuk setiap bab dengan klik pada tajuk untuk jawapan buku teks matematik tambahan tingkatan 4 kssm 2020 bab 1 fungsi q&a latih diri 1.2 latih diri 1.3 latihan intensif 1. Latihan darab matematik kssr tahun 3 worksheet pinterest math and worksheets cute766. Matematik tingkatan 2 ( latihan pecutan ). Maklumat yang disediakan di dalam nota padat matematik tingkatan 2 kssm ini menepati segala keperluan pelajar untuk membuat persediaan menghadapi peperiksaan dan memperoleh kelulusan yang cemerlang. Harap latihan ini dapat membantu anda dalam ujian tingkatan 2 sebenar.

Related : Latihan Matematik Tingkatan 2 2018 : Matematik tingkatan 2 kssm bab 1 pola dan jujukan bab 2 pemfaktoran dan pecahan algebra bab 3 rumus algebra bab 4 poligon bab 5 bulatan bab 6 bentuk geometri tiga dimensi bab 7 koordinat..